Hver fredag vil vår faste problemskaper Vagelis Plevris fra Oslo Met gi deg en nøtt å knekke i løpet av helgen.
Svarer du rett, kan du være den heldige vinneren av en fin og hendig TU Bygg termoflaske fra Hadeland glassverk. Svarfrist er mandag formiddag klokka tolv.
Svaret avslører vi i TU Byggs Facebook-gruppe hver mandag etter at konkurransen er avsluttet.
Artikkelen fortsetter etter annonsen

annonsørinnhold


Slik har brannmurens rolle endret seg i moderne IT-miljøer
Her kommer denne ukas nøtt:
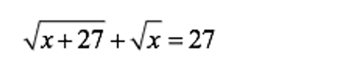
Oppgave 1
Finn verdien av x.

Oppgave 2
Finn radiusen r i den rød sirkelen i figuren under (figur 1).
Send inn dine svar via skjemaet under!

Førsteamenuensis ved Institutt for bygg- og energiteknikk ved OsloMet – storbyuniversitetet.
Fagdisipliner er bygg-, anleggs- og transportteknologi, bygningsmaterialer og konstruksjonsteknologi








